探索发现 · 交大智慧
上海交大药学院侯四化课题组JACS发文:首次全合成多环二萜Papililone A
上海交通大学药学院侯四化课题组在《美国化学会志》(JACS)上发表了天然产物papililone A的首次全合成研究(DOI: 10.1021/jacs.5c17278)。该工作以9步最长线性步骤、无需保护基、高立体选择性的汇聚式策略,高效构建了具有复杂笼状结构的二萜类化合物papililone A,为多环萜类合成提供了新思路。

Papililone A由贵州大学周康课题组于2022年从真菌Papiliomyces sp.中分离获得,具有独特的5/6/5/5稠合桥环四环骨架和六个连续立体中心,包括两个相邻的全碳季碳中心和一个大位阻的β-异丙基取代基,结构高度拥挤且刚性。其C17-甲基构型此前被推测为α构型,但近期计算研究指出应为β构型,增加了合成难度。目前,该化合物尚未见全合成报道。
近日,侯四化团队采用极性-自由基串联环化、立体选择性1,2-加成、插烯α-醇酮重排、钯催化烯基化/共轭加成串联环化等关键反应,成功实现了(-)-papililone A的首次全合成,并修正了C17构型为R型。

图1. 代表性稠合并桥多环萜类分子及Papililone A的首次全合成
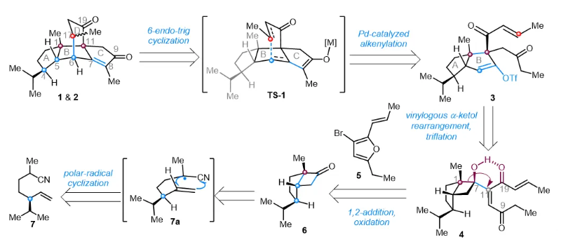
在逆合成分析中,目标分子1和2可通过双烯醇负离子过渡态TS-1经钯催化的酮烯基化/6-endo-trig串联环化由中间体3构建,一步形成两个C–C键和两个新立体中心(C6和C17),构建CD环系。中间体3则依赖于插烯α-醇酮重排和三氟甲磺酰化反应,起始物为α,β-不饱和酮4。该重排反应通过分子内氢键(C19=O···HO–C7)调控构象,实现C11季碳的立体选择性构建。化合物4由呋喃片段5与环丁酮6通过1,2-加成和氧化制得,而6则由腈基前体7经非对映选择性极性-自由基环化高效合成。

图2. Papililone A的逆合成分析
合成路线中,炔丙醇8经炔基化得炔酮9,再经溴化环化制得3-溴呋喃5(79%收率)。烷基溴10经Michael加成和水解得羧酸11,再经[2+2]环化制环丁酮6。但该反应非对映选择性差(d.r. = 1:1.5),故改用Fleming极性-自由基环化策略,ω-烯基腈7经此法以60%收率、d.r. > 20:1得单一非对映体6。

图3. 片段5和6的制备
3-溴呋喃5经锂-卤交换与6反应得非对映异构体13/13'(d.r. = 1.1:1),加入LaCl₃·2LiCl后非对映选择性显著提升至>20:1,得单一异构体13。随后,呋喃单元在O₂、亚甲蓝和光照下选择性氧化裂解,分别以87%和56%收率得重排前体4和4'。插烯α-醇酮重排反应在KOH/i-PrOH/DCM体系中以60%收率得产物14(d.r. > 20:1),C11构型为R,其结构经X射线单晶衍射确认。DFT计算表明,高立体选择性源于分子内氢键与空间位阻协同调控,使反应通过能量更低的过渡态TS-2进行。4'经相同条件得14'(C11为S构型),验证了反应机理。

图4. 汇聚式策略合成5/5并环化合物
传统aldol或Michael反应无法构建高张力5/5/6三环,作者转而采用过渡金属催化策略。在LiHMDS与Comins试剂作用下,三羰基化合物14以64%收率得烯基三氟甲磺酸酯3。随后,Pd(MeCN)₂Cl₂与DPPP催化下,3经烯基化/6-endo-trig环化得笼状四环产物2(d.r. > 20:1),收率45%,其结构经过X射线单晶衍射确定。DFT计算表明,椅式过渡态TS-1比船式TS-4低3.9 kcal/mol。化合物2的核磁数据与天然papililone A一致,证实其C17为R构型,修正了此前的S构型假设。由(+)-10制备的(-)-papililone A(2)的圆二色谱和旋光度与天然样品一致,确证了其绝对构型。

图5. 天然产物papililone A的全合成
该工作不仅实现了papililone A的首例全合成,更展示了一种简洁、高效的合成策略。该策略的核心在于巧妙融合多种精心设计的新型反应:通过钯催化的烯基化/6-endo-trig环化串联反应构建5/5/6三环骨架;借助螯合导向的插烯α-醇酮重排精准控制C11立体中心;并利用极性-自由基串联环化构建环丁酮结构,有效调控环间连接的立体化学。此外,作者还巧妙地以呋喃前体为关键中间体,有效控制了共轭双烯酮中双键的几何构型,为后续立体选择性重排反应奠定了基础。这一系列反应的协同应用,充分体现了合成设计的逻辑性与创新性。该合成不仅成功解决了papililone A的结构争议,确立了其正确的绝对构型,还为复杂多环萜类化合物的合成提供了新颖的策略与方法。这一成果标志着在复杂天然产物全合成领域取得了重要进展,也为后续相关生物活性研究和药物开发奠定了坚实的基础。
上海交通大学药学院2023级博士研究生单兴钱为文章第一作者,侯四化长聘教轨副教授为文章通讯作者。
论文链接:https://doi.org/10.1021/jacs.5c17278