探索发现 · 交大智慧

上海交大张何朋课题组及其合作者发现自电泳微马达和边界作用的新机制

近日,上海交通大学自然科学研究院与物理与天文学院的张何朋教授课题组及其合作者,在Physical Review Letters上发表了题为“Measuring Attractive Interaction between a Self-Electrophoretic Micromotor and a Wall”的研究论文。该工作中,研究人员测量了自电泳微马达和边界之间的吸引作用,并通过数值模型成功揭示了其形成机制。

化学驱动的微马达能够将其表面催化反应释放的能量转化为动能,实现自主运动。由于其在微观尺度上的自我推进能力,这些微马达被广泛认为是具有巨大应用潜力的工具,涵盖了从靶向药物输送到环境修复等多个领域。此外,这些微马达也是研究活性物质物理的重要模型系统。

微马达通常在受限空间中使用,例如微流控芯片设备等。在这些环境中,边界的存在会改变周围化学物质、静电场和流体运动场的分布,产生复杂的马达-边界相互作用。这些相互作用对微马达的动态行为有着深远的影响,产生稳态滑移、流动环境中的流变趋向运动等现象。尽管马达-边界相互作用的重要性已被广泛认可,但迄今为止,针对这一作用强度的实验测量仍然存在困难,实验数据的缺乏限制了我们对微马达-边界作用的理解。

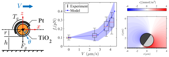
左图:二氧化钛-铂微马达的结构示意图;中图:吸引力强度与微马达速度的依赖关系;右图:微马达周围氢离子密度涨落的空间分布。

为克服这一挑战,张何朋教授团队与其合作者开发了配有超顺磁性核心的二氧化钛-铂(TiO₂-Pt)双面神微马达。这种核壳设计使得研究人员可以在微马达沿边界移动时施加磁力,从而测量将其从边界上移除所需的力。实验结果揭示了强烈的马达-边界吸引力,其强度超过了马达的有效重力和推进力。通过电动数值模型,研究人员成功地重现了这些实验结果,并阐明了其潜在机制:当马达的阳极朝向壁面时,马达与壁面之间的化学反应生成的氢离子积聚扰动了原有的静电场,从而产生吸引力。进一步的实验和建模在双金属棒系统中验证了这一机制。

基于两种不同类型的马达的研究表明,马达-边界吸引力可能是自电泳系统中的普遍现象。该发现为之前微马达实验中观察到的“跟随边界”行为提供了合理的解释。此外,本研究还表明,化学反应产生的过量离子可以作为一种通用工具,用来调节各类系统中带电物体之间的静电相互作用。

上海交通大学博士生徐彦楷为论文第一作者,上海交通大学的张何朋教授和哈尔滨工业大学深圳校区的王威教授为共同通讯作者。本研究得到了国家自然科学基金的资助。

论文链接https://journals.aps.org/prl/abstract/10.1103/PhysRevLett.133.258304

张何朋
自然科学研究院